[도시경제채널 = 윤문용 기자] 서울 은평을 지역구로 둔 더불어민주당 김우영 의원은 지난달 30일, 31일 이틀간 개최된 국회 과학기술정보방송통신위원회 연석청문회에서 쿠팡 개인정보 유출 사건을 집중 추궁하면서, 쿠팡의 성인용품 구매내역까지 포함된 협박 메일을 공개해 “단순 해킹이 아니라 디지털 성범죄 수준의 중대한 프라이버시 침해”라고 강하게 질타했다.
김 의원은 해커가 쿠팡 고객의 상세 주소, 전화번호와 함께 성인용품 구매내역을 첨부해 협박한 사실을 공개하며, 피해자에게 극도의 불안과 수치심을 유발하는 심각한 사생활 침해라고 강조했다. 쿠팡 측 증인인 해롤드 로저스 대표에게 “고객이라면 불안하게 느낄 것”이라는 답변까지 이끌어내 문제의 심각성을 인정하게 만들었다.
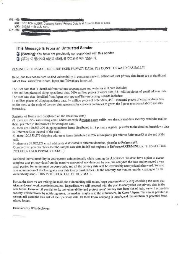
쿠팡이 유출 규모를 ‘3천 계정’으로 발표한 점도 지적했다. 실제로 정부 합동조사에서는 3300만 건의 성명·이메일 유출 로그가 확인됐기 때문이다. 김 의원은 “쿠팡의 발표는 신빙성이 없고, 자체 조사라는 셀프 방식은 증거 인멸 가능성까지 배제할 수 없다”고 지적했다. 과학기술정보통신부 역시 “기업이 정부와 합의되지 않은 결과를 사전에 발표한 것은 심각한 우려”라고 밝혔다.
쿠팡이 미국 증권거래위원회(SEC)에 ‘한국 정부 지시에 따라 3천 계정만 유출됐다’고 보고한 점도 허위 보고 의혹으로 지적됐다. 과기부는 “정부의 지휘나 승인 사실은 없다”고 확인하며, 해외 투자자와 시장을 대상으로 한 쿠팡의 보고가 사실과 다를 수 있다는 점에서 국제적 신뢰 문제로 번질 수 있다고 경고했다.
보상안 역시 논란이 됐다. 쿠팡은 현금 대신 조건부 쿠폰을 지급했는데, 김 의원은 “공정거래법상 끼워팔기 금지 위반 소지가 크고, 미국 집단소송공정화법(CAFA)에도 배척되는 방식”이라고 지적했다. 특히 탈퇴 이용자의 재가입을 전제로 한 보상은 개인정보 자기결정권과 삭제·파기 요구권을 침해한다고 강조했다.
김 의원은 쿠팡의 노동 안전 매뉴얼도 강하게 비판했다. 그는 “동료가 쓰러져도 라인은 멈추지 않는다… 이것이 쿠팡의 안전 매뉴얼인가”라며, 사람이 과로로 쓰러져도 ‘사업장 요인이 아니다’라며 작업을 계속하는 지침은 산업안전보건법상 ‘작업 중지 의무’ 위반이라고 지적했다. 특히 의료진에게 CCTV를 은폐하라는 내부 지침은 “간접 살인 방조 행위”라며 비인도적 위기관리라고 질타했다.
장례식장 대응 매뉴얼에서도 ‘조문이 아니라 감시’, ‘노조 개입 동향 파악’ 등 유가족을 위로하기보다 노조를 견제하는 내용이 담겨 있었다는 점도 문제로 지적됐다. 김 의원은 “고인의 마지막 길을 함께해야 할 공간에서 벌어진 비인간적 태도가 유가족의 분노와 절규를 낳았다”고 밝혔다.
또한 JP 모건이 작성한 리포트가 개인정보 유출이라는 중대한 악재를 ‘제한적 영향’으로 축소하고 ‘주가 하락 시 매수’를 권고한 점도 이해충돌 소지로 비판했다. 김 의원은 “이는 자본시장법 제178조 위반이자 명백한 시장 교란 행위”라고 강조했고, 금융위원회는 “의도나 편향성을 갖고 작성했다면 문제”라며 엄정한 대처를 약속했다.
[저작권자ⓒ 도시경제채널. 무단전재-재배포 금지]



















![[포토뉴스]오세훈 시장, 시민과 함께 ‘쉬엄쉬엄 모닝’ 걷다](https://dokyungch.com/news/data/2026/03/22/p1065597262619830_341_h2.jpg)














